Четверг, 22 января, 2026
ГлавнаяВ РоссииПрорыв российских ученых в исследовании галактических джетов

Прорыв российских ученых в исследовании галактических джетов

Фото: naked-science.ru

Исследование выполнено при поддержке РНФ и открывает новые горизонты в понимании космических процессов.

Удивительные релятивистские джеты представляют собой мощные потоки электронно-позитронной плазмы, устремляющиеся из центров активных галактик. Эти впечатляющие космические феномены входят в число самых энергетически мощных структур во Вселенной, протягиваясь на тысячи световых лет в космическом пространстве. Уникальность джетов заключается в их способности излучать энергию практически во всех диапазонах электромагнитного спектра, при этом вещество в них перемещается на скоростях, практически достигающих скорости света.

Благодаря масштабным и детальным наблюдениям ученым удалось существенно продвинуться в понимании природы джетов. Российские исследователи сделали важное открытие: изменения в направлении джетов активных галактических ядер преимущественно связаны с вращательным движением их источника, а не с перпендикулярным распространением отдельных светящихся компонентов.

Захватывающие результаты исследования показывают, что у подавляющего большинства активных галактических ядер (90%) периоды изменения направления джетов не превышают тысячелетия. Это важное временное ограничение позволяет лучше понять механизмы, управляющие ориентацией космических струй. Среди наиболее вероятных причин таких изменений ученые выделяют нестабильности в плазме джета, прецессионное движение, обусловленное наклоном аккреционного диска относительно оси вращения черной дыры, а также гравитационное воздействие второй черной дыры в близких двойных системах.

«Наше исследование охватывает более трехсот активных галактических ядер, представляющих огромный научный интерес. В астрофизике активными ядрами называют сверхмассивные черные дыры в центрах галактик, чье излучение способно затмить свет всей родительской галактики. Джет можно представить как мощный поток частиц, вырывающийся из окрестностей центральной черной дыры в виде космической струи, излучающей энергию практически во всем электромагнитном диапазоне. Интересно, что такие струи всегда возникают парами, устремляясь в противоположных направлениях. Благодаря эффекту Допплера мы обычно наблюдаем более яркую струю, направленную в нашу сторону — собственно джет, в то время как противоположная струя, известная как контр-джет, выглядит менее заметной.

Наше увлекательное исследование фокусируется на изучении динамики космических джетов — их эволюции, трансформации положения и геометрической структуры в различные моменты наблюдений. Чтобы представить это явление наглядно, можно провести интересную параллель с водным потоком. Джет способен сохранять постоянное направление или же изменять его со временем, подобно тому, как вода из вращающегося садового распылителя образует спиралевидную структуру. Именно анализируя характеристики вращения джета, мы стремимся определить ключевые параметры активного ядра», – увлеченно делится деталями исследования Иван Костричкин, ведущий специалист лаборатории фундаментальных и прикладных исследований релятивистских объектов Вселенной МФТИ.

Исследовательская группа сконцентрировалась на анализе радиодиапазонных наблюдений в специфическом частотном диапазоне от 2 до 43 гигагерц. Ключевой задачей стало раскрытие поведенческих паттернов джетов и выявление их возможной взаимосвязи с характеристиками активных ядер.

При наблюдении джетов под малыми углами обзора, составляющими считанные градусы от линии наблюдения, даже незначительные изменения могут визуально проявляться как существенные искривления или эволюционные трансформации видимого направления. Этот феномен привлек пристальное внимание научного сообщества, результатом чего стали масштабные исследования как отдельных квазаров, так и обширных выборок активных галактических ядер. Все проведенные исследования убедительно демонстрируют значительную динамику направления внутреннего джета.

«Механизм формирования джетов универсален – это одно из удивительных свойств нашей Вселенной, где идентичные явления проявляются в различных объектах. Однако остается захватывающая загадка: что вызывает наблюдаемые геометрические трансформации? Электромагнитное излучение, формирующее наблюдаемую картину, является практически единственным доступным источником информации, что создает определенные сложности в идентификации физических процессов.

В отличие от классической физики, астрофизические исследования не предполагают прямых экспериментов. Мы опираемся на наблюдательные данные и их интерпретацию, экстраполируя знакомые физические законы на космические объекты. В нашей работе мы исследовали потенциальные причины наблюдаемых явлений. Используя геометрические характеристики, мы стремились определить ограничения различных физических параметров черных дыр, включая их массу и периодичность изменений направления джета. Это увлекательная попытка через визуальные проявления раскрыть физические процессы, происходящие в далеких космических объектах», – с энтузиазмом подчеркивает Иван Костричкин.

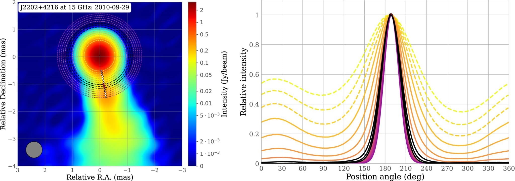
В процессе изучения наблюдательных данных исследователи применили передовые методы визуализации, открывающие захватывающие космические феномены. На представленном изображении слева можно увидеть впечатляющее РСДБ-изображение, демонстрирующее величественный джет активного ядра галактики. Этот удивительный космический феномен берет свое начало в ослепительно яркой красной центральной зоне, устремляясь вертикально вниз. Fascinating факт заключается в том, что наблюдаемый участок представляет собой лишь малую часть грандиозного явления, динамику которого с энтузиазмом исследуют астрофизики. Особенно интересно то, что конфигурация струи проявляет удивительную динамичность — её облик может существенно меняться в зависимости от времени наблюдения, что позволяет нам проследить захватывающую эволюцию джетов в активных галактических ядрах.

В ходе детального анализа наблюдательных данных учёные успешно применили инновационные методы визуализации, раскрывающие тайны космоса. Представленное РСДБ-изображение наглядно демонстрирует впечатляющий джет, исходящий из активного галактического ядра. Этот космический поток, начинающийся из яркой алой центральной области, устремляется вниз, образуя великолепное зрелище. Примечательно, что наблюдаемая часть является лишь фрагментом масштабного явления, эволюция которого приковывает внимание исследователей. Поразительно, как внешний вид струи может трансформироваться со временем, раскрывая перед нами удивительную картину развития джетов в активных галактиках.

Источник: naked-science.ru

Другие новости

Почему профессиональные маляры носят белую одежду?

Профессиональная форма играет важную роль в определении социального статуса...

Почему существует такое разнообразие пород собак?

Вы любите кошек или собак? Если вы — любитель...

Как улучшить сон: проверенные советы для здорового отдыха

Была еще одна бессонная ночь? Значит, вам тоже знакомо...

Управление временем: искусство создания полноценной жизни

В нашем быстро развивающемся мире, где каждый день приносит...

«Черный ящик» для планеты и мистические знаки Тасмании

В ближайшее время в австралийском штате Тасмания построят «черный...